Rosenthal-Henderson B-factor, RH B-factor
Rosenthal-Henderson B-factor, RH B-factor
The Rosenthal-Henderson B-factor (RH B-factor) is a damping factor for the structure factor used in the case of Single Particle Analysis (SPA). The RH B-factor is different from the ordinary Debye-Waller factor dealing with only the effect of atom vibrations (see “Related Terms”). The RH B-factor factor takes account of not only thermal vibrations of atoms, but also specimen drift, the thickness of ice, the spatial frequency response of the detector, the coherence of an electron beam, and the errors arising from measurement and image analysis. The RH B-factor is a coefficient that relates the spatial resolution obtained from the 3D reconstruction analysis in SPA to the number of particle images required to achieve that resolution. The RH B-factor was introduced to estimate the number of the particle images required to achieve a sufficiently high resolution in SPA.
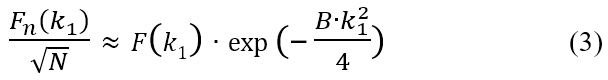
Fig. 1 illustrates an example of the RH B-factor in SPA for apoferritin particles. The figure plots the square (k12) of the spatial frequency k1 ("k1" is the spatial frequency for the value of Fourier Shell Correlation (FSC) = 0.143), which corresponds to the spatial resolution obtained in SPA using the number of N particle images, against the natural logarithm (
) of the number of N apoferritin particle images. This graph is called "Rosenthal-Henderson plot". The RH B-factor is equal to twice the slope of a straight line drawn on the graph. In the case of stable-structure particles like apoferritin particles, it is known that a sufficiently high resolution is achieved for an RH B-factor of approximately 50. In this example, a spatial resolution of d=1/k1=1.53 Å was attained from the analysis using 330,000 particle images at a value of the RH B-factor of 51.

Fig. 1. Example of Rosenthal-Henderson plot.
Blue points, the square (k12) of the spatial frequency k1 for a value of Fourier Shell Correlation (FSC) = 0.143 are plotted against the natural logarithm (
) of the number N of apoferritin particle images. A green straight line shows a linear fitting for the blue points. The value of the RH B-factor is calculated to be 51 from twice the slope of the green line.
In 2003, Rosenthal and Henderson proposed the RH B-factor for SPA [1].
The scattering amplitude f of quantum rays (X-rays, neutrons and electrons) by atoms is damped by the thermal vibrations of the atoms. The Debye-Waller factor (temperature factor), introduced as a quantity to describe the damping of the scattering amplitude due to thermal vibrations of the atoms, is given by

Here, B is written as
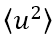
and expressed in units of Å2, where
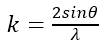
(called atomic displacement parameter (ADP)) is the mean square amplitude u for thermal vibrations of an atom. The wave number k of the scattering wave is defined as
(λ: the wavelength of the quantum wave, θ: half angle of the scattering angle). Then, the atomic scattering factor is attenuated with increasing the wave number and given by

Let "
" be the structure factor of a protein particle. The structure factor attenuates with increasing the spatial frequency k, and is expressed as follows analogous to the equation (1),

If the amplitude of the noise at a frequency k from a single protein particle image is
, (n means noise), the amplitude averaged over the N particle images is
. Then, we assume that the frequency k1 at which equation (2) is equal to the amplitude of the averaged noise
, is the reciprocal of the spatial resolution attained. The spatial frequency k1 is given by

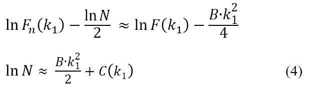
By taking the natural logarithm of both sides of equation (3), the following equations are derived.


Since
is considered to take a value close to
near the attained resolution,
in the equation (4) is to be a small constant.
Neglecting
in equation (4), plotting
(the natural logarithm of the number of N protein particle images) on the horizontal axis and k12 on the vertical axis provides a straight line with a slope of B/2. (Thus, it is not needed to calculate the structure factor of the protein particle.)
(Confirmed by Professor Koji Yonekura, Tohoku University, RIKEN Spring-8 Center)
Reference
[1] Rosenthal, PB, Henderson, R., J. Mol. Biol. 333, 721–745 (2003)
Related Term(s)
Term(s) with "Rosenthal-Henderson B-factor, RH B-factor" in the description
Are you a medical professional or personnel engaged in medical care?
No
Please be reminded that these pages are not intended to provide the general public with information about the products.
