Solid-State Half-Integer Quadrupolar NMR ③ whole echo & CPMG
NM240003E
Echo measurements
In a Hahn Echo (or simply Echo) measurement, a signal is excited by a 90 deg pulse, followed by a delay time 𝜏, after which a 180 deg pulse is applied to refocus the magnetization. The signal is then detected after another delay time 𝜏, when the magnetization is fully refocused (Fig. 1). In contrast, in a Whole Echo (also called shifted echo), both the magnetization refocusing after the 180 deg pulse and the fully refocused decaying signal are detected (Fig. 1). In systems where the effects of relaxation can be neglected, the signal-to-noise ratio (S/N) is √2 times higher than that of the Echo.
Fig. 1 right shows the 87Rb spectrum of an RbNO3 sample acquired using both Echo and Whole Echo. In the Whole Echo spectrum, the sensitivity is approximately 1.4 times higher than in the Echo spectrum.
CPMG
The CPMG (Carr-Purcell-Meiboom-Gill) method involves applying multiple 180 deg pulses to acquire multiple whole echoes, which are then summed together (Fig. 1). When applied to quadrupolar nuclei, it is often referred to as QCPMG (Quadrupolar CPMG). In systems where the effects of relaxation can be ignored, the sensitivity increases by √2n times for Echo and √n times for Whole Echo when acquiring n signals. In practice, however, due to relaxation effects, the sensitivity enhancement is lower and eventually plateaus.
Fig. 1 shows the 87Rb CPMG spectrum of an RbNO3 sample, where 18 scans have been acquired. It can be observed that the CPMG spectrum provides approximately 3.5 times the sensitivity of the echo spectrum. While a sensitivity enhancement of √(2*18) = 6 times is theoretically expected if relaxation effects are negligible, in this sample, the enhancement plateaus at around 3.5 times due to relaxation. The Whole Echo and CPMG methods are not limited to half-integer quadrupolar nuclei; they can also be applied to nuclei with I=1/2 and integer spins.

Figure 1 | The pulse sequences of Echo, Whole Echo, and CPMG (left) and the Echo, Whole Echo, and CPMG spectra of the RbNO3 sample (right). In CPMG, n=18 is set. Whole Echo achieves approximately 1.4 times the sensitivity of Echo, while CPMG achieves approximately 3.5 times the sensitivity of Echo.
Adjusting the phase of Whole echo spectrum
In the spectrum of the whole echo, the maximum point of the signal is significantly shifted, which makes it difficult to analyze if processed in the usual way, as it will be displayed as a wavy spectrum. Therefore, it is necessary to perform phase correction using a method different from the usual one. There are two methods for phase correction.
①Shifting the start point of the Fourier transform.
In our NMR analysis software, Delta, there is a command called "gauss-echo-shift." This command reads the echo delay time (𝜏) from the pulse sequence and shifts the start point of the FT accordingly (Fig. 2).
②Significantly shifting the first-order phase.
As with a normal 1D spectrum, phase alignment can also be achieved by shifting the first-order phase. However, a large shift is necessary, and it requires adjusting while observing the imaginary component (Fig. 3).
Although the operations of methods ① and ② differ, shifting the first-order phase is equivalent to shifting the start point of the Fourier transform. In other words, mathematically, these operations are completely equivalent.

Figure 2 | (a) FID obtained from the whole echo. Performing a Fourier transform from the start point of the FID results in a wavy signal with a significant phase shift, but performing a Fourier transform from the maximum point of the echo results in a phase-aligned signal.(b) Fourier transform from the start point of the FID. (c) Fourier transform from the maximum point of the echo.

Figure 3 | (a) When no phase correction has been applied. (b) When slight phase correction has been applied. (c) When phase correction is almost complete, but further fine-tuning is necessary as some imaginary component (in red) of the signal still remains. (d) After fine-tuning, the phase is perfectly aligned, and at this point, the imaginary component of the signal has almost completely disappeared.
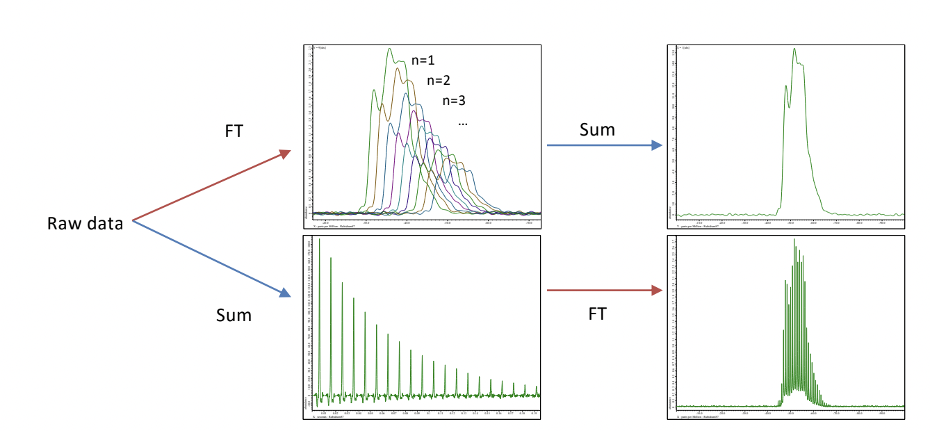
Processing of CPMG Spectrum: Which Should Be Done First, Fourier Transform or Summation?
As for the processing methods of CPMG data, there are two approaches:
① Fourier transforming the obtained FID and then summing the spectra, or
② Summing the FID along the time axis and then performing the Fourier transform (Fig. 4).
① First, observe the signal at the initial points, perform the Fourier transform, and align the phase. By summing this for n, the spectrum is obtained. The advantage of this method is that it produces a clearer spectrum. The disadvantage is that it might sum points with a poor signal-to-noise ratio (S/N). Therefore, it is recommended to check the signal intensity of each point, select appropriate points to sum, and discard the remaining points.
② First, concatenate the FID along the time axis and perform the Fourier transform as is. The advantage of this method is that since a window function can be applied to the entire FID, it eliminates the need to decide up to which point should be included, a concern with method ①. The disadvantage is that the spectrum is detected as a spikelet-shaped signal depending on the frequency of 180 deg pulse irradiation, making the spectrum slightly harder to read.
Both methods ① and ② are seen in papers.

Figure 4 | CPMG Spectrum Processing: There are two methods: summing the Fourier-transformed spectra over n (top) and summing the FID along the time axis followed by Fourier transformation (bottom).
Reference
Larsen, F. H. & Farnan, I., Chem Phys Lett 357, 403-408 (2002).
Related products
Are you a medical professional or personnel engaged in medical care?
No
Please be reminded that these pages are not intended to provide the general public with information about the products.
