Dual column analysis of VOCs, haloacetic acids, and phenols using nitrogen carrier gas
MSTips No. 483
1.Introduction
In a previous report, an application was presented that utilizes a dual-column configuration, connecting two types of GC column to MS. This configuration was developed with the objective of enhancing work efficiency. While the dual column connection eliminates the need for column switching, it also increases the carrier gas flow rate, which can lead to a reduction in sensitivity. The use of helium as the carrier gas mitigates this decline, while the employment of alternative gases can result in a substantial reduction in sensitivity.
In this study, we utilized nitrogen as an alternative carrier gas and concurrently connected a column for VOCs and a column for haloacetic acids and phenols. We then proceeded to assess the applicability of this approach in water quality analysis. The evaluation was based on performance indicators such as detection sensitivity, calibration curve linearity, and reproducibility.

JMS-Q1600GC UltraQuad™ SQ-Zeta w/t MS-62071STRAP
2.Experiment
2.1.Sample preparation
VOC: A headspace vial containing 3 g sodium chloride and 10 mL purified water was weighed and 1,4-dioxane was added to give the following concentrations: 0.1, 0.2, 0.4, 1, 2, 4, 10, 20µg/L for VOCs other than 1,4-dioxane, and 5, 10, 20, 50, 100, 200µg/L. The internal standards were added to each sample to give a concentration of 2.5 µg/L for fluorobenzene and p-bromofluorobenzene and 200 µg/L for 1,4-dioxane-d8.Haloacetic acids: For the compounds methyl chloroacetate, methyl dichloroacetate, and methyl trichloroacetate, which are the derivatives of the compounds after treatment, the concentrations of haloacetic acids in the water samples before treatment were adjusted to 2, 5, 10, 20, and 40 µg/L by stepwise dilution with MTBE. Internal standards were added to each sample to achieve a concentration of 100 µg/L of 1,2,3-trichloropropane.Phenols: Phenol, 2-chlorophenol, 4-chlorophenol, 2,4-dichlorophenol, 2,6-dichlorophenol, and 2,4,6-trichlorophenol were extracted from the water samples after dilution with ethyl acetate to obtain the following concentrations: 0.1, 0.2, 0.5, 1, and 2 µg/L. Trifluoroacetamide was added to 1 mL of the solution and the mixture was allowed to stand for 1 hour. The internal standard was acenaphthene-d10 added at a concentration of 200 µg/L.
2.2.Measurement condition
The sample was measured using a gas chromatograph mass spectrometer (JMS-Q1600GC UltraQuad™ SQ-Zeta) connected to a headspace autosampler (MS-62071STRAP). The measurement conditions for the device are shown in Table 1.
Table 1. Measurement condition

2.3. How to connect the two columns in a dual column configuration
When using a dual column configuration, connect the inlet side of each column to the inlet ports at the front and back, and connect both outlet sides to the MS side. Use a two-hole ferrule that can fix two columns for the MS side connection.

3.Measurement results
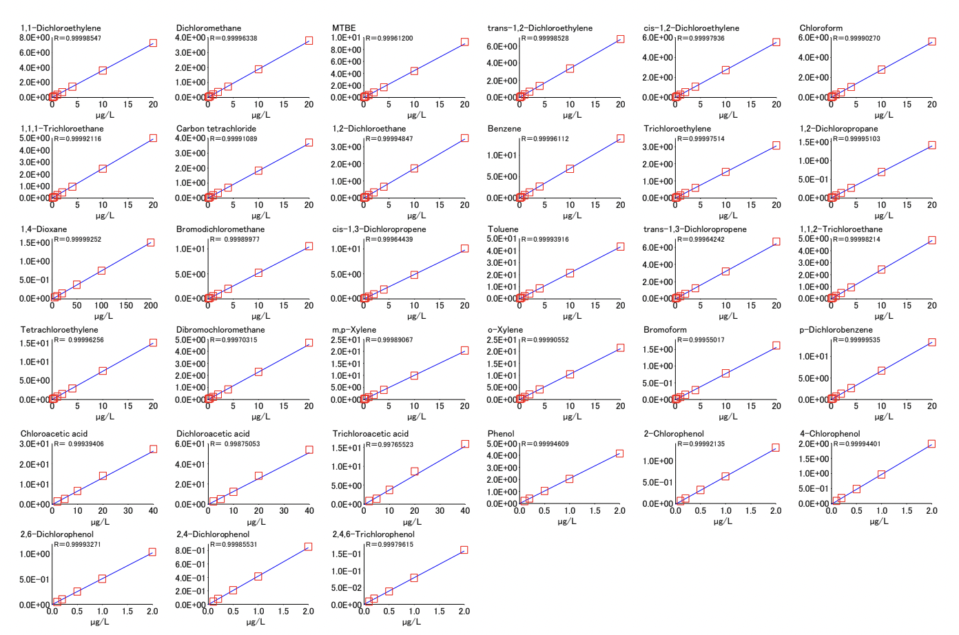
The calibration curves for VOCs, haloacetic acids, and phenols are shown in Figure 1, and the chromatograms for the lower limit of the calibration curve are shown in Figure 2.

Figure 1. Calibration curve of each compound.

Figure 2. SIM chromatograms of the most lower concentration plot of the calibration curve for each compound.
The correlation coefficient of the calibration curve and the coefficient of variation (hereafter abbreviated as C.V.) of the quantitative values when the lower limit concentration of the calibration curve was measured continuously with n = 5 are shown in Table 2.
Table 2. Correlation Coefficient and Coefficient of Variation (C.V.) of each compound.

The correlation coefficients shown in Table 2 are all 0.99 or greater, indicating good linearity in the concentration range set in this study. In addition, the coefficient of variation at the lower concentration limit is 5% or less for all components, indicating that it is possible to measure concentrations 1/10 of the standard, which is the sensitivity index required for water quality testing.
4.Conclusion.
Using nitrogen as an alternative carrier gas, the detection sensitivity, calibration curve linearity and reproducibility of the VOC, haloacetic acid and phenol columns connected in dual column mode were verified, and the results were favorable, confirming that measurement using a dual column connected with nitrogen carrier gas is sufficiently possible.
Solutions by field
Related products
Are you a medical professional or personnel engaged in medical care?
No
Please be reminded that these pages are not intended to provide the general public with information about the products.
