Gas Chromatograph Mass Spectrometer
What is a gas chromatograph-mass spectrometer(GC-MS)?
Gas chromatograph-mass spectrometer (GC-MS) is an analytical instrument combining a gas chromatograph (GC) and mass spectrometer (MS). The GC separates vaporized mixed components based on the principle of distribution chromatography, while the MS ionizes organic compounds eluted from the GC and separates and detects them according to the mass of the ions. The target components of GC-MS are volatile compounds, and it is widely used for qualitative analysis of organic compounds and quantitative analysis of hazardous substances in the environment, etc.

Information obtained with GC-MS
Chromatograms are obtained by separating mixed components using with GC. The chromatogram, which is a plot of total ion currents versus time, is called a total ion current chromatogram (TICC). Separated components are ionized in the MS, and their mass (m/z) is measured to obtain a mass spectrum. The relationship between the TICC and mass spectrum is shown in the figure below.

Information obtained from mass spectra
Mass spectra provide the following information.

What can GC-MS do?
Analysis by GC-MS can be broadly classified into qualitative and quantitative analysis.
Qualitative analysis
- To find out what components are in the sample.
- Most of the analysis is done by library search.
- Unknown substances not yet registered
in the library may be targeted.
- Analysis in combination with EI and soft
ionization method data.
⇒ GC-QMS, GC-TOFMS - Detailed analysis with measured accurate
mass.
⇒ GC-TOFMS
- Analysis in combination with EI and soft
ionization method data.
- The type and relative intensity (mass
spectrum pattern) of the ions are important.
- Various ionization methods are required.
Quantitative analysis
- To measure the amount of a component in a sample.
- Analyze by comparison with standard compounds.
- Known substances are targeted,
and quantitative analysis of unknown substances is rarely performed.
- Clean samples
(analysis of volatile components in water, etc.)
⇒ GC-QMS - Dirty samples
(pesticide residue analysis, dioxin analysis, etc.)
⇒ GC-TQMS
- Clean samples
- Absolute intensity (sensitivity) and
stability of ions are important.
- EI method is mainly used.
Application Range of GC-MS
GC-MS is used in a wide range of applications for both qualitative and quantitative analysis of volatile compounds.
- Natural Products Chemistry / Synthetic Organic Chemistry
- Molecular weight confirmation, structural analysis
- Chemistry / Materials
- Synthetic polymers, materials, additives and petroleum
- Environmental analysis
- POPs (Persistent Organic Pollutants: dioxins, PCBs, pesticides, etc.), water, atmosphere and indoor air
- Biochemistry / Medicine / Pharmacy / Forensics
- Doping testing, narcotics, stimulants, dangerous drugs, explosives and gunpowder
- Others
- Aroma components, gas analysis
About GC for GC-MS
About Inlet and Injection Mode for GC
The GC inlet is where the sample is vaporized and introduced into the separation column. Injection modes include split and splitless modes, and the appropriate mode must be selected for analysis.
- Split mode
In this mode, a portion of the vaporized sample is introduced into the separation column at any split ratio. The split ratio (ratio of column flow rate to split vent flow rate) is determined by considering the amount of loading to the column and the sensitivity of the target compound. - Splitless mode
In this mode, the entire injected volume is introduced into the separation column. It is suitable for the analysis of trace components due to the large absolute volume introduced into the column.

Column Types and Selection
A capillary column is coated with a polymer called a stationary phase on
the inner wall of a fused silica tube.
The type of stationary phase, column length, inner diameter, and film thickness affect
separation, so it is important to understand each characteristic and select an appropriate
column.
- The type of stationary phase
Capillary columns have different characteristics (polarity, maximum operating temperature, etc.) depending on the type of stationary phase coated on the inner wall. In general, selecting a stationary phase with polarity close to that of the target components will result in a good peak shape due to its affinity. When components are analyzed on a column with low polarity, they elute in the order of their boiling points. - Column length
Typically, column lengths of 20 m to 60 m are used. For the same inner diameter, film thickness, and carrier gas linear velocity, a longer column provides better separation, but requires more analysis time. - Column inner diameter
Typically, an inner diameter of 0.18 to 0.53 mm is used. Using a column with a narrower i.d. will improve separation by narrowing the peak width, but it will also reduce the acceptable sample load, so it is necessary to use caution with the volume of sample injected. - Column film thickness
Thinner films result in narrower peak widths and less column bleed. Thick film columns with high retention are used for low-boiling compounds.
Ionization Methods for GC-MS
In addition to electron ionization (EI), ionization methods for volatile samples suitable for GC/MS include chemical ionization (CI), photoionization (PI), and field ionization (FI). With EI, there are some compounds whose molecular weight is difficult to confirm. CI, PI and FI are effective for analyzing such compounds.
EI (Electron Ionization) → Hard ionization method
EI mass spectra of a large number of compounds have been archived as a library. Searching against an EI mass spectral library such as NIST and Wiley Registry provides identification of the compound. However, it may be difficult to confirm the molecular weight of some compounds because the EI method tends to dissociate bonds within compounds. If the molecular ion of the compound cannot be detected, the accuracy of identification could be low.
CI (Chemical Ionization), PI (Photoionization), FI (Field Ionization) → Soft ionization methods
These ionization methods can be used to confirm the molecular weight of a compound. Because it is difficult for them to fragment, they may not provide structural information for particular compounds. A suitable ionization method needs to be selected according to the sample.
⇒ By using the soft ionization method, molecular weight can be
confirmed!
Using both the EI and soft ionization methods improves the qualitative accuracy!
Comparison of mass spectra by each ionization method

- CI → Ionization using the
ion-molecular reaction with reagent gas ions.
- A typical soft ionization method. Selection of a reagent gas (methane, isobutane, ammonia, etc.) suitable for the target compounds is important. Ability to donate protons: methane > isobutane, however methane tends to produce more fragment ions.
- Available on JEOL's quadrupole MS (QMS), triple quadrupole tandem MS (TQMS), and time-of-flight MS (TOFMS).
- PI → Ionization by irradiating with
a vacuum-ultraviolet (VUV) light.
- The low ionization energy of 8 to 11 eV suppresses fragmentation.
- Some compounds may decompose during the ionization process
or may not be ionized.
(That depends on the wavelength range of the light source and the ionization energy of the compound.) - No reagent gas is required!!
- Available on JEOL's QMS, TQMS, and TOFMS as an EI/PI combination ion source.
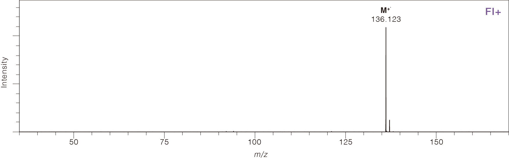
- FI → Ionization using a high electric field.
- Gives less excess internal energy and produces less fragmentation than EI, CI, and PI.
- Softest of all ionizations used in GC-MS.
- No reagent gas is required!!
- Available on JEOL's TOFMS as an EI/FI combination ion source.
For details on each ionization, see "Ionization Methods for JEOL Mass Spectrometers - A Guidebook -".
About MS for GC-MS
The mass spectrometers used in GC-MS include Quadrupole Mass Spectrometer (QMS), Triple Quadrupole Mass Spectrometer (TQMS), and Time-of-Flight Mass Spectrometer (TOFMS).
[QMS]
This instrument is easy to operate, robust and versatile, making it suitable for routine
analysis.
[TQMS]
This instrument, allowing for two-step mass separation by tandem mass spectrometry (MS/MS), has
high selectivity and it is suitable for the quantitative analysis of samples with complex
matrices and interferences.
[TOFMS]
Majority of TOFMS's (including JEOL's) have high mass resolving power and high mass accuracy,
and are capable of elemental composition elucidation by accurate mass measurement. A high
mass-resolution TOFMS can identify unknown compounds without relying on a library search and is
suitable for non-target analysis.

Differences between data obtained by QMS/TQMS and TOFMS
While QMS and TQMS can measure nominal mass, TOFMS has a mass resolution
that provides mass accuracy in the order of 1/1000.
When accurate mass analysis is required,
high resolution TOFMS is an optimal choice.

Differences between QMS/TQMS and TOFMS data acquisition methods
The data acquisition format for QMS and TQMS (quadrupole type) is a transmission type, while the TOFMS (time-of-flight type) is a simultaneous analysis type.

Scan mode
In the transmission quadrupole mass analyzer, by appropriately setting the RF voltage (V) and DC voltage (U) applied to the quadrupole, only ions with a specific m/z can be transmitted. Mass spectra can be sequentially obtained by repeatedly scanning the RF voltage (V) and DC voltage (U) while maintaining the ratio of V and U constant. From the data obtained, the mass spectrum at any time and the EIC of any m/z can be obtained. Qualitative analysis (identification) of a compound can be performed from the mass spectrum, and quantitative analysis can be performed from EIC.
SIM (Selected Ion Monitoring) mode
Measurement is performed by repeatedly changing the RF voltage (V) and DC voltage (U) in a stepwise manner so that one or more preset m/z ions can be sequentially transmitted. High sensitivity can be obtained because the time during which a specific m/z ion is transmitted is much longer than in scan mode. The data obtained consists only in chromatograms of pre-specified m/z ions (SIM chromatograms) and cannot be used for qualitative analysis. This data is used for quantitative analysis of trace substances whose sensitivity is insufficient in scan mode.


Time-of-Flight Mass Spectrometer: m/z ∝ [time-of-flight]2
When ions with different m/z are accelerated at the same voltage at the same time, all the ions acquire the same kinetic energy and fly in a field-free region. Smaller m/z ions fly faster, and larger m/z ions fly slower, so mass spectra can be obtained by sequentially detecting the ions that reach the detector. Since a single ion flight cycle can be completed in tens of microseconds to hundreds of microseconds. Theoretically, it is possible to measure more than 10,000 mass spectra per second, but in reality, an appropriate number of mass spectra are summed and then recorded. It is possible to record up to 50 mass spectra per second.

GC-MS Qualitative Analysis
The first step in GC/MS qualitative analysis is to search the NIST mass spectral library. When it is difficult to judge whether molecular ions are present in the EI mass spectrum or not, you can improve confidence in identification by detecting molecular ions from soft ionization data. However, for unknown compounds, conclusive identification can be difficult. By performing accurate mass analysis, we are able to know the elemental composition (its molecular formula) and opt for further structural analysis.

Usefulness of integrated qualitative analysis
In qualitative analysis by GC-MS, it is common to perform a library DB search using mass spectra obtained by the Electron Ionization (EI) method. The following figures and table show the EI and Soft Ionization (SI) mass spectra of component A, and the results of the library DB search using the EI mass spectrum. The library DB search results show that all of the candidates have a high similarity score of more than 800. In most cases, component A will be determined to be the first candidate with the highest similarity score in the library DB search when qualitative analysis is performed using only the EI mass spectrum. However, m/z 314, which is presumed to be a molecular ion, has been detected in the SI mass spectrum. Therefore, component A can be presumed to be the second candidate "Diethylene glycol dibenzoate". In JEOL Ltd., we call the combination of the library DB search using EI mass spectrum and analysis of molecular ions in the SI mass spectrum an "integrated qualitative analysis". The msFineAnalysis iQ is a software that can perform this integrated qualitative analysis automatically.

EI mass spectrum of component A

SI mass spectrum of component A
No. | Library Name | Similarity | Formula | MW |
---|---|---|---|---|
1 | 2,2'-(Ethane-1,2-diylbis(oxy))bis(ethane-2,1-diyl) dibenzoate | 828 | C20 H22 O6 | 358 |
2 | Diethylene glycol dibenzoate | 821 | C18 H18 O5 | 314 |
3 | Benzoic acid, 2-(3-nitrophenyl)ethyl ester | 810 | C15 H13 N O4 | 271 |
4 | 1,3-Dioxolane, 2-(methoxymethyl)-2-phenyl- | 802 | C11 H14 O3 | 194 |
5 | 3,6,9,12-Tetraoxatetradecane-1,14-diyl dibenzoate | 800 | C24 H30 O8 | 446 |
The library DB search results of component A (Top 5 candidates)
Integrated qualitative analysis can be performed automatically and easily using software.
Qualitative analysis for unknown components
Qualitative Analysis Workflow
The qualitative analysis workflow for unknown components not registered in the library database is shown below. It is difficult to analyze qualitatively unknown components by GC-QMS. In this case, the combination of the integrated qualitative analysis mentioned above and accurate mass analysis by GC-TOFMS is effective.

Structural formula prediction for unknown compounds
Obtaining a structural formula for unknown compound analysis is the primary goal of qualitative analysis. Because the large number of fragment ions observed in EI mass spectra contains a wealth of structural information, their compositional formulas can be used for accurate structural analysis. In general, high-mass fragment ions suggest functional groups and substructures, while low-mass fragment ions are suitable for compound classification. There are also fragmentations, such as the McLafferty rearrangement, that characterize the structure of a compound.

As mentioned above, molecular formulas and fragment ion composition formulas are useful information in unknown compounds analysis. However, manual structural analysis requires knowledge and experience in interpreting mass spectra. In this case, analysis using automated structural analysis software is effective.

GC-MS Quantitative Analysis
Quantitative analysis is an analytical method for investigating the concentration of a target component contained in a sample, and is made possible by creating EICs of the ions derived from the target components of data measured by QMS/TQMS scan modes and by TOFMS. If the sensitivity is insufficient in scan mode, the measurement is performed in the SIM mode with QMS/TQMS. If the sensitivity and selectivity are insufficient even in SIM mode, it is necessary to perform measurements in SRM mode (described later) of TQMS.
Quantitative analysis from scan mode data and TOFMS data
EICs are created by specifying the m/z of ions with strong intensity and
specific to the components to be analyzed.
Then, the quantitative value can be calculated
from the area of the peaks on the EICs.
Quantitative analysis from SIM (Selected Ion Monitoring) mode data
If the sensitivity is insufficient in scan mode, measurement can be performed in SIM mode. Ions with strong intensity and specific to the component to be analyzed are identified by measuring the standard sample in advance in scan mode. Then, a measurement is performed for the samples for the calibration curve and the actual samples under the SIM measurement conditions that monitor only these ions.

Quantitative analysis from SRM (Selected Reaction Monitoring) mode data
SRM is a measurement mode specific to TQMS. It is highly selective and is
effective for multi-component analysis where complete component separation by GC is not
possible, and for sample analysis where it is difficult to ensure the reliability of
quantitative results due to a large number of matrices.
A TQMS (Triple Quadrupole Mass Spectrometer) is a tandem mass spectrometer consisting of two
quadrupole mass analyzers, the 1st MS and the 2nd MS. Specific precursor ions selected in the
1st MS are made to collide with the collision gas, and the specific product ions generated are
selected in the 2nd MS and monitored. Since the mass separation of specific ions is performed
twice in this way, more selective and reliable quantification results can be obtained than in
the SIM mode in which mass separation is performed only once with the 1st MS.

SRM enables highly sensitive and reliable quantitative analysis even for samples containing a large number of matrices, where the m/z of both the target and the interfering components overlap and cannot be accurately quantified using the SIM mode.

Pretreatment devices connectable to GC-MS
GC-MS can analyze components in gas, liquid, and solid samples in combination with various pretreatment devices. Here, we introduce popular pretreatment devices, Head Space Sampler (HS), Pyrolyzer (Py), and the thermogravimetry/differential thermal analysis (TG/DTA) system.
Headspace sampler (HS)
A sample (liquid or solid) is placed in a sealed vial and heated. Volatile components in a sample are extracted while holding distributional equilibrium state between the gas phase and the sample phase. Then, a portion of the gas phase containing volatile components is introduced into a GC-MS.
Pyrolyzer (Py)
Py-GC-MS is a method used to analyze evolved gases or pyrolysis products generated by heating a sample in a pyrolyzer furnace. It is mainly used for the analysis of polymeric materials, including the identification of polymers and quantification of additives in resin.
Thermogravimetry / Differential Thermal Analysis (TG/DTA)
The TG/DTA system can be used to observe weight changes during the sample heating process and thermophysical properties such as heat generation and heat absorption by chemical reactions. In addition, by connecting to MS, gas components generated during the heating process can be analyzed.
- TG (Thermogravimetry)
A method to measure the weight change of a sample by heating. - DTA (Differential thermo-gravimetric analysis)
A method to observe exothermic/endothermic reactions in a sample by detecting the temperature difference between the sample and a standard material.
HS | Py | TG/DTA | |
---|---|---|---|
Maximum heating temperature | 250°C | 1,000°C | 1,600°C *varies depending on the model. |
Maximum sample volume | Approx. 20 g (Container volume: up to ~20 mL) |
Several tens of milligrams (Container volume: up to ~80 μL) |
Approx. 1 g (Container volume: up to ~400 μL) |
Sample state | Solid, liquid, gas | Solid, liquid | Solid, liquid |
Usage and analysis target | Volatile components in the sample | Polymers and additives | Volatile components that evolve in sync with weight change |
